- Home
- Companies
- Presto Geosystems
- Articles
- Using Geosynthetics to Stabilize Soils ...
Using Geosynthetics to Stabilize Soils in a Harsh Environment
Mine Site Erosion Problems
One of the largest nickel mining sites in the world is located on the island of New Caledonia in the South Pacific. Due to the size of the mining project and the terrain of the site, significant cut-and-fill work for civil engineering structures was unavoidable.

For such a large site, the challenge of protecting the structures from erosion can be enormous. Inaction is not an option due to the sensitive nature of the structures, environmental concerns, and a keen desire by the owners to protect the environment. A typical example of the erosion at the site is the slope in Figure 1. Such slopes require continuous maintenance if the erosion problem is not addressed. In some cases, erosion can cause interruption in the mobility of materials and personnel at the site.

Several erosion-control measures had been successfully used at the site, including riprap and concrete. An alternate erosion control system was desired by the owner that would meet the following objectives:
- cost-effective,
- require little or no maintenance,
- use local labor and materials,
- have a design life exceeding 50 years.
Ultrabasic soils cover about one-third of New Caledonia, where large deposits of nickel are found. Periodites and serpentines–the parent rocks of these soils–formed 1.5-65 million years ago during the Tertiary period.
The chemical weathering of these rocks over thousands of years and subsequent erosion have resulted in a soil formation of the general nature shown in Figure 2. Ultrabasic soils are rich in iron and magnesium–yet are deficient in nutrients to support vegetation. These soils are fragile in structure and easily erodible, especially when the dense vegetation at the surface is disturbed by fires, mining, or construction activities.

The topography of the site is generally hilly and mountainous. Slopes vary continuously from steep to gentle and from fully vegetated to barren. There are numerous water runoff features on the island. There are large areas of unstable soils and mass movement as shown in Figure 2. As a result, soil erosion is a challenging engineering problem in this region.
The weather pattern is cyclonic, with a single cyclone dumping up to 800mm (31 in.) of rain within 24 hours. Significant rainfall from at least three major events has affected the island during the past 50 years. Tropical Cyclone Anne dropped 714mm (28 in.) of rain within 24 hours in 1988. In 1969, Tropical Cyclone Colleen recorded 214mm (8 in.) of rain in 4 hours. In January 2011, Tropical Cyclone Vania brought a rainfall of 50mm (2 in.) per hour for several hours. The rainfall intensity for a 6-hour, 100-year storm is on the order of 400mm (16 in.) in this region. The annual number of cyclones can range from 2-10. Table 1 presents the 10 wettest storms recorded on the island (through 2010).

The unstable nature of the soils, together with the hilly terrain and cyclonic weather, presented unique engineering challenges for the soil erosion problems.
The contractor had a long and successful relationship with the mining company at the site installing liner systems and was aware of the challenges of protecting the slopes from erosion in this environment.
The owner suggested the potential of geocell applications to develop a conceptual solution to the erosion problems. The solution consisted of covering the slopes with geocells, a 3D HDPE product designed to contain and stabilize infill material. The recommended infill material consisted of a byproduct waste aggregate from the mining operation. A nonwoven, needle-punched (NW-NP) geotextile separation layer was also recommended. Figures 3 and 4 present the proposed gravel infill and the geocell, respectively.
The owner accepted the contractor’s proposed solution as a more cost-effective answer than previous methods. The geosynthetic solution would require little to no maintenance during the effective design life and was visually appealing. The proposed gravel infill was available as a waste material at no cost. The installation could be performed by local labor with little technical support and training by the manufacturer. However, the owner required that an independent design engineer prepare a design for the proposed solution.
The primary design considerations included:
- minimum thickness of the geocell,
- veneer stability,
- type of the separation geotextile,
- hydraulic response during a storm, and
- infill procedures.
Due to length constraints for this article, only the thickness and veneer stability are discussed here. Important design conditions for the site related to thickness and veneer stability included:
- maximum slope angle of 45 degrees,
- 6-hour probable maximum precipitation of 39mm (1.5 in.),
- maximum slope length of 20m (65.5 ft), and
- clay soils.
The geocell thickness was the most challenging factor during the design phase because of the long slope lengths and steep angles. As the thickness of the geocell increased, the driving force due to the infill weight increased, which led to higher anchorage requirements.
Alternatively, as the geocell thickness was decreased, more water could penetrate the clay soil, which could potentially jeopardize the effectiveness of the geocell system. After a detailed analysis, a geocell thickness of 100mm (4 in.) was selected to provide effective coverage and minimize anchorage requirements.
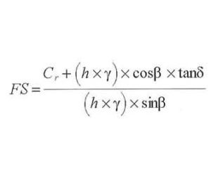
The anchorage requirements are explained with this veneer stability equation:
Where FS = factor of safety against veneer instability, Cr = required anchorage (kPa), h = thickness of the geocell (m), β = slope angle (degrees), δ = geotextile-subgrade friction angle (degrees).
A factor of safety of 1.4 was used, which is typical for slope stability analysis. The friction angle between the geotextile and underlaying site clay was base on GRI Report #30 (Koerner and Narejo, 2005). Figure 5 provides the relevant figure from this report. A friction angle of 28 degrees was used in the calculations. Density of gravel, γ, was 20 kN/m3. Slope angle, β, varied from 26-45 degrees. The required anchorage, Cr, depends on the slope angle β for the known or assumed values of FS, h, δ, and γ. For the β value of 45 degrees, the required anchorage is 1.2 kN/m2.
For geocell installations, two anchorage methods that include stakes and tendons are typically evaluated. In the design phase, galvanized No. 4 rebar provided the most cost-effective solution. The rebar spacing was determined based on actual site load tests. Fifteen locations were identified for the field load tests. The rebar intended for use was hammered into the slope and a downward pull load was applied parallel to the slope. The load was increased until either maximum load capacity was reached or the rebar broke or pulled out of the ground. Testing determined that a maximum anchorage of 100kg or 0.98kN could be used for a single rebar anchor. From this value, the spacing of the stakes was determined.

The contractor recontoured the slopes where there was significant damage caused by erosion. A 6oz. NW-NP geotextile was installed on the slope as a separation layer between the existing subgrade layer and the gravel infill material. Cellular confinement sections were installed over the geotextile.
Starting from the top of the slope, the sections were expanded down the slope and filled with waste aggregate (Figure 6). The installation was completed within the target time.
In 2011, just weeks after the completion of the first phase of the project, Tropical Cyclone Vania dropped a total of more than 600mm (24in.) of rain within a 24-hour period. The site was further affected when, within 24 hours of Vania’s impact, a magnitude-7 earthquake hit a nearby island. This was a real-life test for a geocell installation on steep slopes, some up to 45 degrees.
The slope coverage performed as designed, with little or no erosion even on the steepest of the slopes. These successes were in keeping with previous results experienced by the manufacturer’s customers around the Pacific Rim—that the cellular confinement performs consistently under wet and seismic conditions.
For difficult and complex site conditions, cellular confinement applications can provide powerful protection against soil erosion.
The concept is simple and is based on the soil-containment function of the geocell and the separation function of the geotextile. A thin layer of overburden soil contained within the cell is enough to protect unstable slopes. This protection is possible even on steep slopes if proper engineering procedures are followed and, most critically, provided that engineering design solutions are used only for the specific material and manufacturing characteristics of a cellular confinement material.
The engineer’s experience with the proposed design solution, that of the contractor with the site, and that of the manufacturer with previous projects in the region all contributed to the project’s success. The decision to use waste material as the infill during the design phase was crucial and limited project costs.
The materials installed on the initial phases of the slopes have already experienced dozens of heavy rainfalls and at lease one earthquake. This case history shows how geosynthetics can be engineered to solve complex problems at a significantly lower cost when compared to traditional solutions.

References: George Koerner and Dhani Narejo, “Direct Shear Database of Geosynthetic-to-Geosynthetic and Geosynthetic-to-Soil Interfaces,” Geosynthetics Research Institute, GRI Report #30, June 14, 2005.
Dhani Narejo, P.E., principal at Care Engineering LLC in Conroe, Texas is a member of Geosynthetics magazine’s Editorial Advisory Committee.
Bruno Hay, is business manager at FLI Pacifique SNC in New Caledonia.
Bryan Wedin, P.E., is Chief Civil Engineer with Presto Geosystems in Appleton, Wisconsin.
