- Home
- Companies
- Shandong Kairui Chemistry Co.,Ltd
- Products
- Kairui - Model CAS 20592-85-2 - Tetra ...
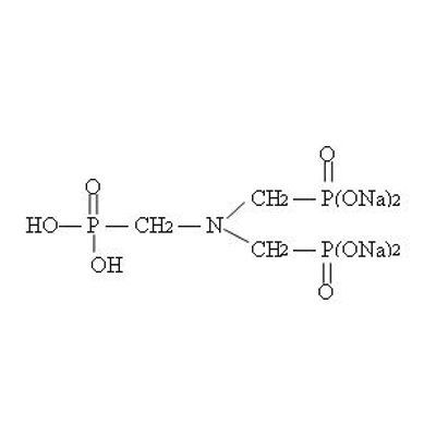
Kairui - Model CAS 20592-85-2 -Tetra Sodium Salt of Amino Trimethylene Phosphonic Acid (ATMP.Na4)
ATMP.Na4 is the fully neutralized form of ATMP. It is a cost-effective scale inhibitor based on ATMP acid. ATMP.Na4 can inhibit the scale formation in water system, calcium carbonate(CaCO3) especially. ATMP.Na4 can be used in circulating cooling water system in power plant, oil refinery plant and oilfield injection applications. ATMP.Na4 is preferred for use in neutral to acidic condition, no ammonia odor is generated.
Keywords:
- ATMP.Na4;
- CAS 20592-85-2
ATMP.Na4 is mostly used with organophosphoric acid, polycarboxylic acid and salt to form all organic water treatment formulation for various circulating cooling water systems with different water quality conditions. Neutralized form and has excellent CaCO3 scale inhibitor in oilfield applications. Compatible with other additives.
