- Home
- Companies
- Shandong Kairui Chemistry Co.,Ltd
- Products
- Kairui - Model ATMP•Na5 - Penta Sodium ...
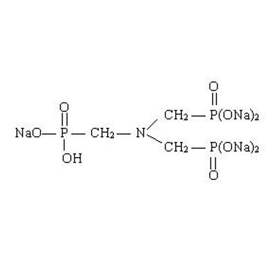
Kairui - Model ATMP•Na5 -Penta Sodium Salt of Amino Trimethylene Phosphonic Acid
ATMP•Na5 is the salt of ATMP, it can inhibit calcium carbonate particularly in water treatment system . ATMP•Na5 can be used in circulating cool system in power plant, oil refinery plant and oilfield refill water system . ATMP•Na5 is a general low cost scale inhibitor, it has good corrosion inhibition to zinc salt and phosphate, its chelating ability is good as well.
Usage:
ATMP•Na5 is used together with other organophosphonic acid, polycarboxylic acid or salt to form organic alkaline agents. ATMP•Na5 can be used in circulating cool water system for all water quality.
Package and Storage:
200L plastic drum,IBC(1000L),customers’ requirement. Storage for ten months in shady room and dry place.
Synonyms:
Pentasodium hydrogen C,C`,C``-nitrilotris(methylphosphonate)
- Appearance : Colorless to light yellow transparent liquid
- Active content (ATMP), % : 27.8-30.7
- Active content (ATMP•Na5), % : 38.0-42.0
- Chloride (as Cl-), % : 1.0 max
- PH (1% water solution) : 10.0-11.0
- Fe, mg/L : 10 max
- Density (20?), g/cm3 : 1.38-1.48
