- Home
- Companies
- Hebei Tobee Pump Co.,Limited
- Products
- Tobee - Model FGD - DT Series - Gypsum ...
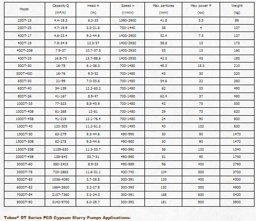
Tobee - Model FGD - DT Series -Gypsum Slurry Pump
Tobee DT Series FGD Gypsum Slurry Pump is a single stage, single suction horizontal centrifugal pump. Mainly used as the circulating pump for absorbent tower in FGD system. It has the advantages of wide range capacity, high efficiency, better energy saving etc,The wetted parts are designed with the CFD fluid simulating analysis technology to ensure its high-efficiency operation. DT series FGD slurry pump is optimal pump type for transporting gypsum slurry, limestone slurry or other abrasive and corrosive medium in thermal power plants.
- Size: 350-1000mm
- Capacity: 1600-15000m3/h
- Head: 5-94m
- PH: 2~4
- Materials: Hyper chrome alloy or Rubber etc.
- DT series FGD slurry pump wetted parts adopt the advanced flow simulation technology to guarantee reliable design and high operating efficiency.
- Corrosion resistant and wear resistant metal and rubber materials for options.
- The special integrated mechanical seal design is suitable to Thermal Power Plant Fuel Gas Desulphurization process.
- The bearing at pump end is double-row taper roller bearing, and bearing at drive end is cylindrical roller bearing. The bearings are lubricated with oil to longer the service time.
- Achieve highest efficiency all the time by adjusting the bearing components to alter the impeller position in pump chamber.
- The pump can be disassembled without dismantling suction or discharge pipes.
FGD system
Mainly used as the circulating pump for absorption tower in FGD system
Sulfuric acid phosphate fertilizer
Transporting acid, liquor, sewage, water, fluoride acid containing silica, phosphate slurry and other media.
Non-ferrous metal smelting
Particularly used for lead, zinc, gold, silver, copper, manganese, cobalt, rare earth and other various hydrometallurgical acid, corrosive pulp slurry (filter press equipped with) electrolyte , sewage and other media delivery.
Oil & Chemical
Variety of sulfuric acid, hydrochloric acid, alkaline, clear liquid or slurry oils posts. Titanium dioxide, iron Pink production, various dyes, pigments production, non-metallic mineral processing industries.
Chlor-alkali industries
Hydrochloric acid, caustic electrolyte etc.
Water Treatment
Pure water, high pure water, wastewater (sewage leather, electroplating wastewater, electronics sewage, papermaking sewage, textile sewage, food waste water, sewage, sewage pharmaceutical industry, etc.).
Iron and steel
sulfuric acid system, hydrochloric acid positions, with impurities sewage.
Coal industries
Coal corrosive liquids, coal slurry transportation
