- Home
- Companies
- SoilStructure Software, Inc.
- Software
- SoilStructure - Version 3.0 - Soil ...
SoilStructure - Version 3.0 -Soil Liquefaction Analysis (Liquefaction SPT) Software
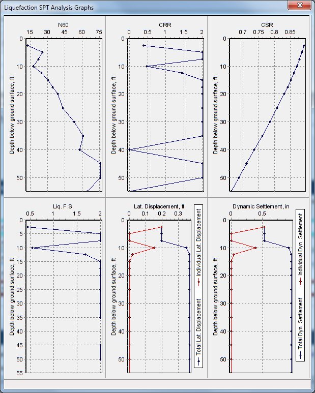
SoilStructure LIQUEFACTIONSPT, version 3 removes the pain of using calculators in analyzing potentially liquefiable sites. Spreadsheets are hard to preserve and it is time consuming to do all the columns and rows of calculations using in house tools. This liquefaction analysis software gives you pleasure and ease when factor of safety against liquefaction and seismic settlement. Liquefaction SPT 3.0 can perform the analysis in both the SI & English Units. We have users in all of the seismically active regions of the world. This geotechnical engineering software complies with requirements of Special Publication 117A, California Geological Survey, 2008.
Liquefaction analysis is one of the most tedious hand calculations faced by the geotechnical engineer. Our liquefaction software, which is based on the 2008 publication “Soil Liquefaction During Earthquakes” by Idriss & Boulanger simplifies this complex analysis. You can now do complete liquefaction analysis in less than 10 minutes.
Liquefaction SPT (LIQSPT) program is a Windows based program that performs three tasks: Analysis of liquefaction potential, Dynamic settlement of soil layers above AND below the groundwater (GWT ) table and Lateral spreading calculations if you have a sloping ground.




This software is so intuitive, that most engineers will not need a user’s manual to perform liquefaction analysis. It takes approximately 10 minutes to perform a liquefaction analysis, dynamic settlement and lateral spreading calculations. This software complies with requirements of Special Publication 117A, California Geological Survey, 2008.
