Liora Water Sensors Versus Traditional Water Sampling - Case Study
INTRODUCTION
Environmental Material Science ("LiORA") provides a new generation of Internet of Things (loT) enabled non-dispersive infrared (NDIR) water sensors that provide high-resolution quantification of groundwater (GW) petroleum hydrocarbon (PHC) concentrations. The current generation water sensor transmits data at 30-minute intervals using a 4-channel pyroelectric NDIR detector, along with a light-emitting diode (LED) infrared source. Among the four channels, three are active channels assigned to detect C02, ChU and PHCs, and the fourth channel acts as the reference. The sensor housing design allows IR-sensitive gases from the water to pass through a semi-permeable membrane into the NDIR sensor. The NDIR detector generates electricity in response to an infrared source and provides an energy-efficient means to estimate GW concentrations.
SCOPE OF WORK
LiORA performed an assessment of Water Sensor networks in comparison with ground water samples from contaminated sites across three jurisdictions that belong to one of LiORA`s top clients. This validation process was crucial for ensuring the reliability and suitability of LiORA Water Sensors for real-world applications in environmental site assessment, monitoring and portfolio management. Samples were analyzed both using LiORA Water Sensors and ALS Environmental laboratories to compare traditional sampling results to Water Sensor performance.
FIELD METHODOLOGY
GW samples from the 18 PHC-contaminated sites were collected via either low-flow or bailer methods (Table 1). The samples were stored at 4°C in amber bottles. ALS reported 45 out of 100 groundwater samples with dissolved PHC level above detection limits: specifically BTEX and other Fl fractions. These samples were analysed for comparison using both LiORA Water Sensor and ALS CC-FID data.
Table 1. Site information with corresponding groundwater monitoring well and sampling technique.
METHODOLOGY
LIORA used a standard addition approach to estimate expected dissolved groundwater PHC concentrations from gaseous data collected by the Water Sensors. To minimize matrix effects and moisture interference on the sensor measurements LIORA also estimated dissolved gas concentrations using Henry`s Law. This law states the amount of dissolved gas in a liquid is directly proportional to its partial pressure above the liquid. This partial pressure is thus proportional to GW concentrations.
GW samples were analyzed in a custom-built glass jar set-up each equipped with a LiORA Water Sensor to measure concentrations (Figure 7). The bottom flask contained a 500 mL water sample and the top portion contained the sensor packs. A microporous Teflon membraneseparatedthetopand bottom flasks to ensure seamless diffusion of degassed volatile hydrocarbons from the water to the sensor chamber under controlled humidity conditions. To compensate for any humidity interference on PHC concentrations, pre-experiment background measurements from the sensors were collected under varying humidities. This was completed by equilibrating the jars with 500 mL of clean water for 24 hours. Relative humidity (RH) inside the glass jar were monitored during this time to ensure that the they reached equilibrium.
The clean water was then replaced with GW samples through the tubing provided, without disturbing humidity levels inside the glass jar setup. The GW samples were continuously stirred during these measurements to accelerate degassing of dissolved PHCs. In addition to groundwater samples, we also measured n-Paraffins(P), Iso-paraffins (l),Aromatics(A), Naphthene (N) and Olefins (O) (PIANO) gasoline standards for reference.
RESULTS & SUMMARY
LIORA`s study calibration process revealed the Water Sensor detection limit for the volatile PHC (mainly Fl) fraction from the PIANO gasoline in water was 0.7 mg/L For comparison, the lower detection limits for traditional analytical methods reported by ALS are 0.05 mg/L for BTEX and 0.1 mg/L for Fl.
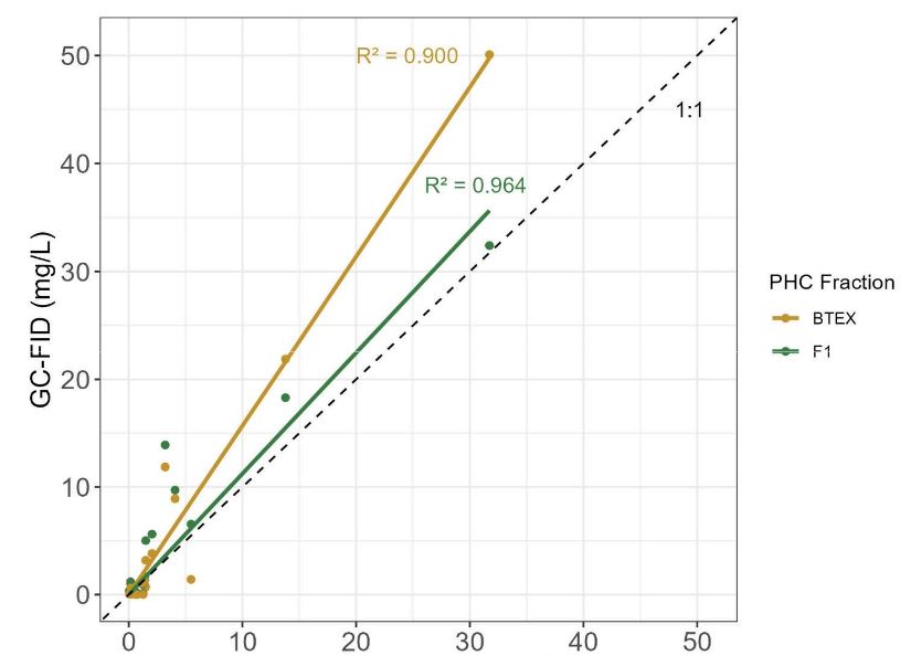
Comparison of the results between LIORA`s Water Sensor and ALS` laboratory analysis suggests a strong relationship between PHC estimates for Fl (R2 = 0.964) and BTEX (R2 = 0.900) [Figure 2).
In summary, this report outlines the effectiveness and accuracy of the Water Sensor system. Under laboratory conditions, LiORA Water Sensors accurately estimated dissolved PHC in water when compared to conventional methods. Moisture (i.e., humidity) may interfere with PHC measurements, though these are easily mitigated via humidity correction techniques.
