- Home
- Companies
- Shandong Kairui Chemistry Co.,Ltd
- Products
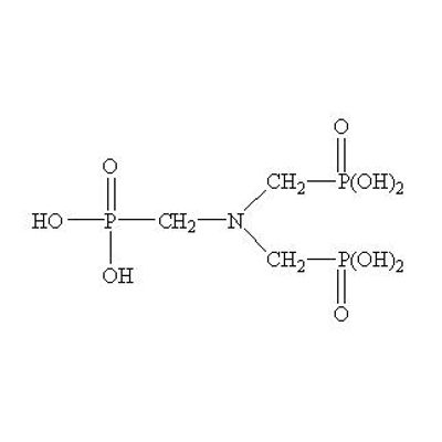
- Kairui - Model CAS 6419-19-8 - Amino ...
Kairui - Model CAS 6419-19-8 -Amino Trimethylene Phosphonic Acid (ATMP)
ATMP is an organophosphonate exhibiting excellent sequestration of metal ions and threshold inhibition of metal salt precipitation. ATMP is a good complexing agent and a universally applicable inhibitor for various scale. ATMP has excellent chelation, low threshold inhibition and lattice distortion.
Alternative Name / Synonyms
- ATMPA;
- AMP;
- Amino Trimethylene Phosphonic Acid;
- Amino Tri(Methylene Phosphonic Acid);
- Tris(Methylene Phosphonic Acid) Amine;
- Nitrilotrimethylphosphonic Acid(NTP);
- Nitrilotrimethylphosphonic Acid(NTP);
- Nitrilotrimethylenetris(Phosphonic Acid);
ATMP is widely used in applications including boiler water treatment, cooling water treatment, industrial and institutional cleaning, oilfield water treatment and general-purpose metal ion control.
ATMP is mostly used with organophosphoric acid, polycarboxylic acid and salt to form all organic water treatment formulation for various circulating cooling water systems with different water quality conditions. The amount of 1-20mg/L is preferred; in an amount of 20-60mg/L when used as corrosion inhibitor.
