- Home
- Companies
- Ampacimon s.a.
- Products
- Model ADR - Self-Powered Vibration ...
Model ADR -Self-Powered Vibration Sensor
Ampacimon’s DLR sensor. This patented sensing method relies on sensing the low frequency mechanical vibrations of the line (induced by wind, thermal convection…) and use them to compute the sag of the line.
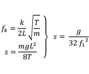
ADR Sense’s principle relies on the direct relationship linking the fundamental vibration frequency of a conductor to the sag:
Therefore, NO CALIBRATION, no CONDUCTOR DATA, no CONDUCTOR MODEL are required, a correct sag measurement is guaranteed, ensuring a safe and secure operation of the grid at all times
ADR Sense other key feature is that, besides temperature and sag, and conductor current, it measures WIND SPEED EXACTLY where it matters: on the conductor itself
Wind is indeed the most influential parameter in determining ampacity (all other parameters being constant, ampacity doubles when wind speed increases from 0.5m/s to 5m/s). However, it is also the most difficult to measure because:
- What matters are low wind speeds (typically< 5m/s), where most traditional wind sensors accuracy is insufficient
- Even the most accurate sensors would require regular maintenance and calibration to remain effective
- Wind “seen” by a conductor span is significantly impacted by shielding effects of buildings, valleys, trees, etc… which can completely distort wind flows, and therefore render measurements made only a few hundred meters away largely ineffective and potentially dangerous if used to compute ampacity.
The wind speed computed by ADR Sense is the resulting perpendicular component to the line, i.e. the component to be taken into account for ampacity computations. It is measured thanks to a patented algorithm that analyses line vibrations, and computes the wind speed component inducing such vibrations (either “aoelian vibrations” for low wind speeds, or analysis of vibrations amplitudes for higher wind speeds). The added precision and safety guaranteed by the physical measurements both of sag and wind speed performed by ADR Sense are of particular significance when considered in a complex environment (forests, obstacles etc…) where guaranteeing operational limits (ground clearance, max temperature) is of utmost importance.
