- Home
- Companies
- International Forward Osmosis ...
- Products
- Osmotic Process
Osmotic Process
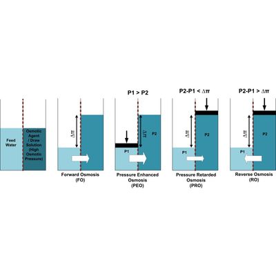
A major distinction between the RO and FO processes is that the water permeating the RO process is, in most cases, fresh water ready for use. In the FO process, this is not the case. The membrane separation of the FO process in effect results in a “trade” between the solutes of the feed solution and the draw solution. Pressure Retarded Osmosis (PRO) may be used to convert salinity gradient into power.
Forward osmosis is not a replacement for reverse osmosis.
In some applications FO complements RO. In others, specialized draw or salt is concentrated using different technologies. FO can also be used without the draw concentration step as an FO Concentrator if a brine stream with high osmotic pressure is available. FO can concentrate waters with higher total dissolved solids (TDS) than RO using a high osmotic draw.
Membranes used for RO do not work well for FO.
Different materials and membrane structure are required to achieve good membrane productivity.
FO fouls less than RO.
In contrast with forward osmosis, the reverse osmosis process uses hydraulic pressure as the driving force for separation, which serves to counteract the osmotic pressure gradient that would otherwise favor water flux from the permeate to the feed. One of the reasons that FO membranes are considerably less prone to fouling than membranes used in pressure driven processes is the absence of external pressure which compacts foulants into the membrane surface restricting flow.
