- Home
- Companies
- Changsha Mitrcn Instrument Equipment ...
- Products
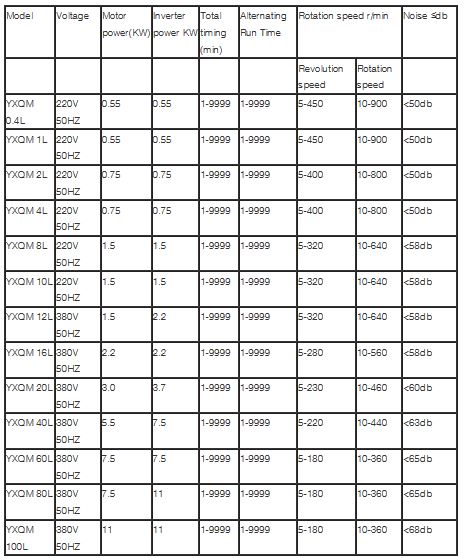
- MITR - Model YXQM0.4L - Semi Circle ...
MITR - Model YXQM0.4L -Semi Circle Planetary Ball Milling Machine with High Purity Zirconia Ball Mill Jar
The planetary ball mill is suitable for crushing and refining hard, medium hardness, brittleness and fiber materials by wet and dry methods. The fineness of the sample can be less than 100 nanometer. It can also be used for grinding solids in suspensions, sample mixing and homogenization, and metal alloying, etc. Can achieve the perfect outstanding effect.
MITR Planetary ball mill is a necessary device for mixing,fine grinding,small samples prepared,dispersion of nanomaterail,R&D of new product and small batch production for high tech materials. The equipment with small volume,comprehensive function,high efficiency,low noise which is the ideal device of obtaining micro-particle research samples used for research and development institute,collages and universities,enterprise laboratory(Four samples can be obtained at the same time in each experiment). The samples could be ground under vacuum state with using the vacuum ball mill jars.
Pearl, ginseng, Dendrobium candidum, tablets, medicament, liquorice, coke, coal, glass, cellulose, paper, chip, polymer, pigment, metal oxide, iron ore, iron powder, aluminum powder, magnesium powder, ceramics, Alumina, bone, kaolin, Limestone, gypsum, quartz, minerals, ores, carbonized fibres, graphite, ink, clay minerals, fibre products, sewage sludge, catalysts, chemicals, alloys, soils, waste samples, wood, plant materials, Cement slag, concrete, slag, tobacco.
- Patented oil seal mute technology
- PLC frequency conversion control
- With own design for precision gear drive instead of original belt drive
- Suitable for dry/wet/vacuum/protective atmosphere/low temperature/high temperature mill.
- Ensures the Homogeneity and repeat-ability of the experiment.
- It can solute the problems for the deposition and sticking of some materials
- Two and four samples could be obtained at one time
- Low center of gravity, stable performance, compact structure, convenient operation, safe and reliable, low noise, no pollution, low loss.
- The device is equipped with a safety switch
- There are universal wheels to push and run;And there are universal supporting feet for stable.
- Safety automatic gear lock
In the use of the planetary ball mill, the sample processing needs to be carried out in the ball mill jar through the action of the grinding media. Therefore, the ball mill jar and the ball mill media are indispensable and main accessories of the planetary ball mill. There are more than ten kinds of different materials and more than 200 kinds of experimental schemes of ball mill c and milling media developed by MITR Technology which can be combined and selected. Different treatment results can be achieved when the samples with different physical and chemical properties are treated.

