Spinsolve - Model Multi X -Nuclei Over Broad Frequency Band
Measure multiple X nuclei over a broad frequency band without the need of any user intervention. The Spinsolve Multi X switches between different nuclei in a fully automatic way, making it possible to run a series of multinuclear experiments unattended. By combining this new technology with the Spinsolve sample changer a powerful level of automation can be achieved. Since the whole library of protocols available for each nuclei is pre-calibrated, the queueing function in the Spinsolve software can be used to measure several X-nuclei on a series of samples.
All Spinsolve models acquire 1H and 19F on a single channel without any retuning or recalibration. Additionally, by equipping the Spinsolve with a second channel several other nuclei can be detected in one spectrometer.
The single channel (single resonance probe) systems offer full 1H and 19F capabilities without requiring any retuning or recalibration when switching between the two nuclei.
The following protocols are available on all systems:
- 1D 1H with/without 19F decoupling
- Paramagnetic for wide chemical shift ranges
- 2D 1H COSY
- 2D 1H ROESY
- 2D 1H TOCSY
- 2D 1H JRES
- T1 and T2 relaxation times
- Reaction monitoring
- 1D 19F with/without 1H decoupling
- 2D 19F COSY
- 2D 19F JRES
- 2D HF-COSY
Besides 1H and 19F the dual channel systems are capable of detecting additional nuclei of your choice. The protocols available for the different nuclei are fully calibrated at the factory and do not require any re-calibration when nuclei are switch. Besides eliminating any user intervention at the time of switching, the fact that the calibrations are not affected is a huge advantage for qNMR applications.
Choose one or more nuclei from the list below or get in touch with us if the nucleus you need is not listed.
Additional to the Protocols available for the 1H/19F system, the dual channel system provides an extensive list of advanced protocols.
- 1D X with 1H and/or 19F decoupling
- 1D 1H with X-channel decoupling
- DEPT
- APT
- HSQC
- HSQC-ME
- HMBC
- HETCOR
More protocols are available with additional features. If you would like to program your own pulse sequences have a look at our Spinsolve Expert software.
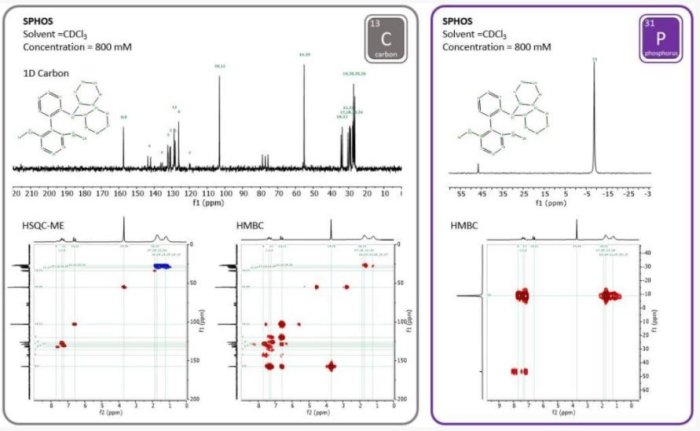
The Spinsolve Multi X enables the user to run multiple X nuclei in a fully automated way. For example, the spectrometer can be set to detect 1H, 19F, 13C and 31P without the need of retuning or user intervention. The figure below shows a set of multi nuclei measurements done on the Phosphine ligand SPHOS. The set of measurements shows how homo- and heteronuclear spectra of 31P and 13C collected on a Spinsolve Multi X system can be used for full structural characterization.

The Spinsolve Multi X makes it possible to run 13C and 11B measurements by a new automated switching technology that requires no manual retuning. The example below shows how interleaved 11B and 13C measurements can be used to follow the different stages of a boron catalysed Corey–Bakshi–Shibata (CBS) reduction.

The stacked spectra show the zoom of the aromatic region of the 13C spectra of a) the starting material acetophenone and b) the boron intermediate after the reaction. A clear difference between the spectra can be observed. The carbonyl peak 7 of acetophenone is absent in the spectrum of the intermediate product. In addition, the signal for carbon 6 shifts towards a lower chemical shift value of 127 ppm
a) CBS-Me pre-catalyst showing a broad signal (orange)
b) spectrum of the 1M BH3*THF solution with borane signal (blue)
c) mixture of the free BH3*THF (blue), the –N-BH3 signal of the activated CBS-catalyst (yellow) and a broad signal range with a corresponding signal at around -15 ppm and a broad signal range at around 20-40 ppm (red) containing different signals of monomeric/dimeric B-Me signals
Due to the abundance in organic molecules and the high sensitivity of the nucleus 1H NMR is by far the most detected nucleus in NMR. All Spinsovle models are able to conduct 1H 1D and 2D experiments with the highest performance. Additionally, 19F spectra can be acquired using the same channel without the need of any hardware adjustments. This capability makes possible to acquire automatically spectra from both nuclei in an alternating way, which is very powerful to acquire reaction kinetics information from both nuclei simultaneously. Moreover, this feature enables one to acquire hetero-nuclei 2D experiments like an HF-COSY where both nuclei are excited during the same pulse sequence, or to acquire the signal of one of the nuclei in the presence of continuous decoupling from the other.


13C is the most common X-nuclei as it can often be used to confirm or elucidate the structure of organic molecules. The Spinsolve Carbon comes with a large library of advanced 1D and 2D sequences all implemented in a way, that they are easy to run. Besides modern 2D sequences like HSQC-ME and HMBC that make full use of the information content and sensitivity gain of 1H detected heteronuclear methods, the Spinsolve Carbon instruments can as well acquire triple-nuclei experiments like 13C detected experiments with simultaneous 1H-, 19F-decoupling. The graph on the left shows a multiplicity edited – HSQC spectrum of quinine in which all resonances can be unambiguously assigned. The graph on the right shows 13C spectra of 5-bromo-1,2,3-trifoluorobenzene without decoupling, with 1H-decoupling, and with combined 1H-, 19F-decoupling.

Protocols available additional to the single-channel system:
- 1D Carbon with 1H and/or 19F decoupling
- 1D 1H with 13C decoupling
- DEPT
- APT
- HSQC
- HSQC-ME
- HMBC
- HETCOR

Phosphorus is commonly found in many organic compounds, for example in biological membranes or DNA. The 31P nucleus has a 100% natural isotopic abundance and a large chemical shift range, making it one of the most commonly used nuclei in biological NMR. It is as well used in organic synthesis for example in the characterization of phosphor ligands for homogenous catalysis.
Graph 2 shows 31P spectra taken at different steps of a phosphine ligand synthesis. The Spinsolve can be easily used to follow reactions as it is compatible with J. Young tubes that are often used for such type of air sensitive compounds.
Graph 1 shows a spectrum of a Nucleoside phosphoramidite, where in full scale only the product peak is visible, however, by magnifying the baseline impurities with a total content of less than 1 % are revealed.
Protocols available additional to the single-channel system:
- 1D Phosphorus with and without 1H decoupling
- 1H-31P- HMBC


There are two naturally occurring NMR active nuclei of Boron, 11B (80.1%) and 10B (19.9%). Both nuclei are quadrupolar with spin of greater than ½. 11B has a spin of 3/2 and 10B is spin 3. In terms of sensitivity, 11B is the better nucleus to use as it has a higher natural abundance, a higher gyromagnetic ratio, and a lower quadrupole moment. A Spinsolve benchtop NMR spectrometer with a proton frequency of 60 MHz can be configured to measure the 11B NMR signal which has a frequency of 19.2 MHz.
The 11B NMR spectrum of a 0.23 M solution of sodium tetraphenylborate in MeOH-d4 is shown below. The spectrum shows the excellent sensitivity of the Spinsolve system using just 8 scans to acquire a spectrum in only 16 seconds.

Silicon is one of the most widespread elements in the natural world and, as such, makes it a very interesting and useful element to study using NMR.
Of the isotopes of silicon, only 29Si is NMR active. It has a natural abundance of 4.7% and the gyromagnetic ratio is 8.465 MHz/T, giving 29Si an NMR frequency of around 12.3 MHz on a Spinsolve 60 system and a receptivity (sensitivity) a little over double that of 13C. In addition, 29Si is a spin-1/2 nucleus, so its lines are sharp since there is no quadrupole moment. Graph 1 shows a 29Si{1H} spectrum of 1,1,3,3,5,5-hexamethyltrisiloxane with inverse gated decoupling.
To overcome the need of extensively long repetition times due to the long T1 times of 29Si, the Spinsolve can as well run 29Si –1H DEPT experiments which can shorten measurement times tremendously. Additionally, graph 3 shows that more advanced techniques like 2D 1H-29Si HMBC can be applied as well to get deeper insight into the moleculcar structure.


