- Home
- Companies
- Particle Measuring Systems (PMS)
- Articles
- Best Particle Counter for Sampling 5.0 ...
Best Particle Counter for Sampling 5.0 µm Particles
As the aerosol particle counting experts, Particle Measuring Systems (PMS) recommends against the use of 0.1 CFM particle counters to sample and monitor 5.0 μm particles. Instead, the best particle counter has a 1.0 CFM flowrate model such as the Lasair Pro Particle counter to provide an adequate sample for the detection of 5.0 μm particles.
In training several thousand students at the Particle Measuring Systems’ Particle College, instructors have consistently stressed the difficulties of sampling large particles. First, there’s the inertia problem, with some particles having such high inertia as to be ineffective at traveling through tubing without getting stuck against the walls. They don’t usually show up in readings unless something bumps against the tubing, jarring them loose.
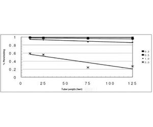
The exception is when sample tubing is paired with an unusually high flowrate (e.g., 2.0 to 3.0 CFM). Such rates are normally only seen in manifold systems. These systems can transport large particles for longer distances, but cannot provide continuous monitoring of the sampling probe of interest. Even with the use of such high flows, the 5.0+ μm particles suffer such high fallout rates that a maximum of 20% can traverse 125’ of tubing, and only if the tubing is absolutely straight. With bends, there’s even less chance they’ll make it!
As a result, Particle Measuring Systems research shows that the best particle counter for 5.0 micron particles is one that is designed as follows:
- Sample the maximum quantity of air, thereby maximizing the chances of a 5.0 μm particle being present. Increase the flowrate to 1.0 CFM, which provides 10 times the sample to analyze as a 0.1 CFM flow.
- Minimize the sample tubing, thereby minimizing large particle fallout.
Particle Counter Tubing Options
NO Tubing: Given laminar flow, the particles sampled will be those present in the cylinder of sample air that enters the sample inlet of the particle counter. When isokinetic sampling at a constant vertical flow rate, the area of the base of the cylinder will be directly proportional to the sample flowrate. Example: For a vertical flowrate of 90 ft/min, the inlet area of an isokinetic probe will be:
- For 1.0 CFM probe: 18.00 mm radius > area of 1032 mm^2
- For 0.1 CFM probe: 5.75 mm radius > area of 103 mm^2
- Thus with 1.0 CFM, the area for catching large particles is 10 times as large.
Minimal Tubing: If tubing cannot be totally eliminated, then the higher the sample velocity through the tubing, the fewer large particles will be lost. In comparison:
- At 1.0 CFM, the sample velocity is approximately 3,350 ft/min.
- At 0.1 CFM, the sample velocity is only 1,100 ft/min. A much higher percentage of the 5.0 μm particles are lost as a result.
Particle Measuring Systems recommends using a 1.0 CFM particle counter instead of a 0.1 CFM particle counter. For aerosol applications, we recommend:
- Airborne Particle Counter: Lasair Pro
- Cleanroom Particle Counter: Lasair III
- IsoAir® Pro-E Aerosol Particle Sensor
- Check out more aerosol particle counters here!
