- Home
- Equipment
Refine by
Kairui Environmental Equipment & Supplies
20 equipment items found
Manufactured by:Shandong Kairui Chemistry Co.,Ltd based inZaozhuang City, CHINA
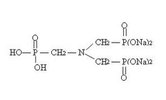
ATMP•Na5 is the salt of ATMP, it can inhibit calcium carbonate particularly in water treatment system . ATMP•Na5 can be used in circulating cool system in power plant, oil refinery plant and oilfield refill water system . ATMP•Na5 is a general low cost scale inhibitor, it has good corrosion inhibition to zinc salt and phosphate, its chelating ability is good as ...
Manufactured by:Shandong Kairui Chemistry Co.,Ltd based inZaozhuang City, CHINA
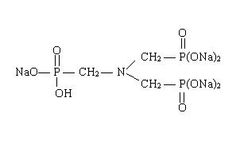
ATMP.Na5 is the sodium salt of ATMP, a scale inhibitor in water treatment system, calcium carbonate CaCO3 in particular. ATMP.Na5 applications includes oilfield water treatment, cooling water treatment, boiler water treatment, industrial and institutional cleaners, etc. ATMP.Na5 is an economic scale inhibitor, has good corrosion inhibition with zinc salt and phosphate. ATMP.Na5 is also a good ...
Manufactured by:Shandong Kairui Chemistry Co.,Ltd based inZaozhuang City, CHINA
PBTC has low content of phosphoric, its structure contains both phosphonic acid and carboxylic acid group. PBTC is designed to control calcium scale formation and precipitation in highly stressed alkaline industrial water treatment and boiler systems. The anti-scaleproperty of PBTC under high temperature is far better than that of organophosphines. PBTC is chlorine stable, it can also be used for ...
Manufactured by:Shandong Kairui Chemistry Co.,Ltd based inZaozhuang City, CHINA
HPMA is a low molecular weight polymeride, with average molecular weight 400-800. No toxicity, soluble in water, high chemical and thermal stability, decomposed temperature above 330?. HPMA has obvious threshold effect under high temperature (350?) and high pH(8.3)level, suitable to be used in alkaline water system or built with agents. It has good scale inhibition against carbonate and ...
Manufactured by:Shandong Kairui Chemistry Co.,Ltd based inZaozhuang City, CHINA
PAA is innoxious and soluble in water, it can be used in situations of alkaline and high concentration without scale sediment. PAA can disperse the microcrystals or microsand of calcium carbonate, calcium phosphate and calcium sulfate. PAA is used as scale inhibitor and dispersant for circulating cool water system, papermaking, weave, dyeing, ceramic, painting, ...
Manufactured by:Shandong Kairui Chemistry Co.,Ltd based inZaozhuang City, CHINA
Isothiazolinones (CMIT/MIT) is mixture of 5-chloro-2-methyl-4-thiazoline-3-ketone (CMIT) and 2-methyl-4-thiazoline-3-ketone (MIT). Miscible with ...
Manufactured by:Shandong Kairui Chemistry Co.,Ltd based inZaozhuang City, CHINA
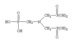
HEDP is an organophosphonate corrosion inhibitor. HEDP shows multifunctional properties that includes scale inhibition and corrosion inhibition. HEDP is noted for excellent CaCO3 inhibitor and water hardness stabilizer. HEDP is very good complexing agent for metal ions like Fe, Cu, and ...
Manufactured by:Shandong Kairui Chemistry Co.,Ltd based inZaozhuang City, CHINA
DDBAC/BKC is one of the Quaternary ammonium class of Cationic surfactants, belonging to nonoxidizing biocide. It is widely used as a disinfectant in the Hospital, Livestock and Personal Hygiene sectors. Dual biocidal and detergency properties ensure high efficacy against Bacteria, Algae and Fungi and enveloped Viruses at exceptionally low ppm concentrations. DDBAC/BKC also has dispersing and ...
Manufactured by:Shandong Kairui Chemistry Co.,Ltd based inZaozhuang City, CHINA
ATMP-N-Oxide.K5 is a chemical which is called as Amino Trimethylene Phosphonic Acid N-oxide, pentapotassium salt .ATMP-N-Oxide.K5 is a modified organophosphonate exhibiting sequestration of metal ions at stoichiometric concentration. ATMP-N-Oxide.K5 also exhibits superior stability towards chlorine. ATMP-N-Oxide.K5 can be used as effective mild scale inhibitor in alkaline ...
Manufactured by:Shandong Kairui Chemistry Co.,Ltd based inZaozhuang City, CHINA
Benzalkonium Chloride(DDBAC/BKC) is one of the Quaternary ammonium class of Cationic surfactants, belonging to nonoxidizing biocide. Benzalkonium Chloride(DDBAC/BKC) is widely used as a disinfectant in the Hospital, Livestock and Personal Hygiene sectors. Dual biocidal and detergency properties ensure high efficacy against Bacteria, Algae and Fungi and enveloped Viruses at exceptionally low ppm ...
Manufactured by:Shandong Kairui Chemistry Co.,Ltd based inZaozhuang City, CHINA
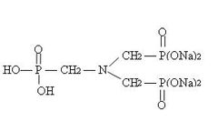
Tetra sodium salt of Amino Trimethylene Phosphonic Acid is the salt of ATMP, it can inhibit the scale formation, calcium carbonate in particular, in water system. Tetra sodium salt of Amino Trimethylene Phosphonic Acid can be used in circulating cool system in power plant, oil refinery plant and oilfield refill water system. Tetra sodium salt of Amino Trimethylene Phosphonic Acid has good ...
Manufactured by:Shandong Kairui Chemistry Co.,Ltd based inZaozhuang City, CHINA
HEDP•Na2 is an organophosphonic acid corrosion inhibitor, it can chelate with Fe, Cu, and Zn ions, it can dissolve the oxidized materials, it has good scale and corrosion inhibition effects even under 250?, it is stable under high pH value, not easy to be hydrolyzed, not easy to be decomposed under normal light and heat condition, its acid/alkaline and chloride oxidation tolerance are ...
Manufactured by:Shandong Kairui Chemistry Co.,Ltd based inZaozhuang City, CHINA
HEDP is an organophosphoric acid corrosion inhibitor. It can chelate with Fe, Cu, and Zn ions to form stable chelating compounds.It can dissolve the oxidized materials on these metals’ surfaces. HEDP shows excellent scale and corrosion inhibition effects under temperature 250?. HEDP has good chemical stability under high pH value, hard to be hydrolyzed, and hard to be decomposed under ...
Manufactured by:Shandong Kairui Chemistry Co.,Ltd based inZaozhuang City, CHINA
PBTC has low content of phosphoric, has structural features of both phosphoric acid and carboxylic acid group, which enable its excellent scale and corrosion inhibition properties. Its antiscale property under high temperature is far better than that of organophosphines. It can improve zinc salt solubility, has good chlorine oxidation tolerance and good composite ...
Manufactured by:Shandong Kairui Chemistry Co.,Ltd based inZaozhuang City, CHINA
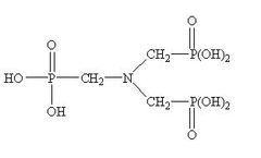
ATMP has excellent chelation, low threshold inhibition and lattice distortion ability. It can prevent scale formation, calcium carbonate in particular, in water system. ATMP has good chemical stability and is hard to be hydrolyzed in water system. At high concentration, it has good corrosion ...
Manufactured by:Shandong Kairui Chemistry Co.,Ltd based inZaozhuang City, CHINA
ATMP is an organophosphonate exhibiting excellent sequestration of metal ions and threshold inhibition of metal salt precipitation. ATMP is a good complexing agent and a universally applicable inhibitor for various scale. ATMP has excellent chelation, low threshold inhibition and lattice ...
Manufactured by:Shandong Kairui Chemistry Co.,Ltd based inZaozhuang City, CHINA
PAA is innoxious and soluble in water, it can be used in situations of alkaline and high concentration without scale sediment. PAA can disperse the microcrystals or microsand of calcium carbonate, calcium phosphate and calcium sulfate. PAA is used as scale inhibitor and dispersant for circulating cool water system, papermaking, weave, dyeing, ceramic, painting, ...
Manufactured by:Shandong Kairui Chemistry Co.,Ltd based inZaozhuang City, CHINA
PAAS is innoxious and soluble in water, it can be used in situations of alkaline and high concentration without scale sediment. PAAS can disperse the microcrystals or microsand of calcium carbonate, calcium phosphate and calcium sulfate. PAAS is used as scale inhibition and dispersant for circulating cool water system, papermaking, weave, dyeing, ceramic, painting, ...
Manufactured by:Shandong Kairui Chemistry Co.,Ltd based inZaozhuang City, CHINA
PAAS is sodium salt of Polyacrylic acid(PAA), it is innoxious and soluble in water.PAAS can be used in situations of alkaline and high concentration without scale sediment. PAAS can disperse the microcrystals or microsand of calcium carbonate, calcium phosphate and calcium sulfate. PAAS is used as scale inhibition and dispersant for circulating cool water system, papermaking, weave, dyeing, ...
Manufactured by:Shandong Kairui Chemistry Co.,Ltd based inZaozhuang City, CHINA
ATMP.Na4 is the fully neutralized form of ATMP. It is a cost-effective scale inhibitor based on ATMP acid. ATMP.Na4 can inhibit the scale formation in water system, calcium carbonate(CaCO3) especially. ATMP.Na4 can be used in circulating cooling water system in power plant, oil refinery plant and oilfield injection applications. ATMP.Na4 is preferred for use in neutral to acidic condition, no ...
